试论黎元洪的身世——五种说法与宿松关联探析
编者按:
历史人物的籍贯与家世研究,是地方文史领域的重要课题。黎元洪先生作为辛亥革命武昌首义的重要领导者,其生平与家世一直备受学界关注,亦存在多种说法。
本文系地方文史爱好者黎承旺先生的研究心得。文章主要梳理了关于黎元洪先生籍贯的多种历史记载与民间说法,并提出了作者个人的分析与见解。此文可作为了解相关讨论的一则参考资料。
需要说明的是,本文观点仅代表作者本人。作为地方新闻媒体,我刊刊发此文旨在呈现地方文史研究的多元视角,促进学术资料的交流与探讨,并非对文中具体观点作出定论。历史研究贵在实事求是、严谨翔实,我们欢迎持不同观点的专家学者与读者,依据可靠史料进行理性、平等的交流与商榷。
中华民国历史上两任大总统、三任副总统的黎元洪的身世,其籍贯与身世在史料中存在多种说法,值得进一步梳理与探讨。据现有史料梳理分析,可分为五个时段五种说法:
一.晚清时寄籍江夏
黎黄陂研究会理事长裴高才于1990年和1998年两度赴北京,查阅了清故宫档案兵部武选第0020(7)号宗卷,其中(光绪二十八年十二月江夏知县陈树屏造呈的)《呈送三品顶带尽先补用都司黎元洪履历清单》里面明确记载:“黎元洪系湖北汉阳府黄陂县寄籍江夏人”。裴先生指出:“这是当年官方的第一手资料,应该说是最可靠的”。而“寄籍江夏”指的是,黎随张之洞从南京回湖北任职后,开始是靠租借黄陂知名人士黎大钧在武昌的房屋,后来自己在武昌中和门建了别墅。由于黎大钧的出生地与黎元洪的出生地仅隔着一条河,且二人很谈得来,交往了一段时间,便结拜为兄弟。
户籍自古子随父籍,黎元洪1902年的履历是“寄籍江夏”始于何时,不得而知。其“寄籍江夏”的具体缘由与时间,现有档案未予载明。但绝不是租借黎大钧的房屋时,因黎大钧一直在北京度支部及山东兵备道任职,到1909年改任大清银行副监督时,全家才住武昌千家街。黎大钧儿媳张仲英指出,此前,黎大钧、黎元洪两人“从未谋面”(见《黎元洪年谱资料》),更不是他自建别墅时,那更在1902年以后。
宿松黎道钧及侄次山一大家子在江夏火药局附近广有房产(详见后文),黎元洪有意归宗黎次山,其是否有难言之隐,抑或有意隐瞒自身的真实身世?“寄籍江夏”或许流露出了他心中的隐痛。
如果黎元洪真是黄陂县人,黄陂与江夏是邻县,也不用办“寄籍”手续了。他的出生地与黎大钧家只有一河之隔,黄陂黎氏红丁(在世的男子,下同)又不是很多,光绪九年进士黎大钧是知名人士,黎元洪与黎大钧不同宗,只能结拜为兄弟。黎大钧的黄陂黎氏原本有谱,但“未谱入元洪一支”(薛民见、裴高才语)。所以,辛亥年间报刊上就有“黎黄陂不是黄陂黎”的通栏标题出现。

二.辛亥时原籍皖宿
萧致治教授在《清朝时期的黎元洪》之“家本黄陂,生于汉阳”中说:“关于黎元洪的祖籍,自从武昌起义他被推为湖北军政府都督以后,就有人说是在安徽宿松”。
1.1911年10月16日《神州日报》发表的署名“鄂中武士”的《革命军总统黎元洪小史》说:“黎氏先祖为皖之宿松人氏,自其祖与父经商于湖北,遂改入黄州府”。

2.1911年10月21日出版的《民国报》之第一号《黎元洪》:“黎氏祖籍原系安徽宿松,自祖父起即经商湖北,遂入黄州籍。”



3.文物袁世凯黎元洪“登基执政图”:鄂军都督黎元洪原籍皖宿
1915年12月12日袁世凯宣布称帝,改国号为中华帝国,1916年1月1日建元洪宪,遭到全国人民的反对和多方势力的讨伐。1916年3月22日,称帝83天后被迫宣布退位。其间,黎元洪被封为武义亲王。大约1915年之前,某瓷器厂批量烧制了一批彩瓷瓦罐。罐身绘有黎元洪肖像,旁边还清晰地显示:“鄂军都督黎元洪原籍皖宿”。

总之,民国初年以前社会公认黎元洪原籍皖宿,他又为何未入宿松籍,未进宿松《黎氏宗谱》呢?
据民国四年宿松六修《黎氏宗谱》记载:“咸丰初,粤匪扰鄂,叔父衡夫公(黎道钧)宰巴阳,公在任所,慷慨从戎……积功至都司,赏孔雀翎……同治元年充湖北督标精锐左营官……累功擢游击留晋补用……续因病告归,卜居武昌城内,(同治)六年冬,火药局失慎,寓庐倾毁,乃携眷归里,隐居宿松凿山之阳”___翰林院检讨江西道监察御史姻愚弟石长信撰。
光绪三十四年黎元洪在太湖秋操时想回宿松寻找生父黎次山,未果。辛亥革命时黎元洪与另一辛亥元老、浔军都督宿松人黎宗岳曾说过,想回宿松归宗黎氏,并说:革命胜利以后,要单独出全资为宿松黎氏修一届宗谱。可惜黎宗岳因反对袁世凯称帝研制炸弹身亡,黎元洪寻父的线索断绝了。
诚然,黎元洪也曾想挂靠归宗黎大钧的黄陂黎氏,但直到今日,黎大钧与黎元洪尚未同谱。
三.民国三年以后自称黎黄陂
清末民初,在鄂北豫南及武汉三镇跑生意的黎德芬,熟知鄂北豫南一带的零散的黎氏宗支,苦于素无族谱,都想“创修”族谱。寄籍江夏的首义都督黎元洪想借助黎宗岳牵线归宗宿松黎氏,可黎宗岳又为反袁世凯捐躯。黎元洪想与黄陂进士黎大钧拉关系归宗黄陂黎氏,黎大钧又没有立即组织人员修谱。在这种情况下,黎德芬出现了,他撒下一张大网,编造了元末明初的始祖旦公、旭公。旦公生五子:舜臣、舜民、舜元、舜恺、舜益。舜臣一支又生曾孙天清、天朗。旭公一支又生天民,就这样创修了一届《黎氏族谱》。
这族谱有主修商人黎德芬的“创修原流叙”:


《创修原流叙》上写道:“余族素无谱牒,无字派之可询,无尊卑(之)可辨,以及昭穆葬所、前代公妣(之)字氏,不致数典而忘之。何则(哉),因未修谱耳”。
原流叙上还写道:“幸有堂兄德寿公号仁松先生之草稿载叙本支天朗公一门之世系。”
“余族素无谱牒”,就是说我们家族一向没有族谱,所以想创修一届族谱。创修族谱要有原始资料,这从哪里来?“幸有堂兄德寿公号仁松先生之草稿载叙本支天朗公一门之世系”。德寿是天朗公的9世孙,按30年一世计算,这二人相距270年。古时四世五世同堂,不分家。就算每家有个记载家庭人口名号、生殁年庚、婚配生育状况、丧葬场所等等的“命簿”(各地叫法不同),这“命簿”一直由宗子(长房长子,下同)收藏。德寿家就算一直是宗子,收藏了这“命簿”,即德寿公收藏的“草稿”是真实可信的。
那么,天清公一门的世系从哪里来?黎德芬、李灿莲两个叙都没有交代。黎元洪是天清公的9世孙,也按30年一世计算,天清公与黎元洪相距270年。天清公一门这270年间的家族史,不就是从天上掉下来的吗!
旭公天民一支暂且不论。
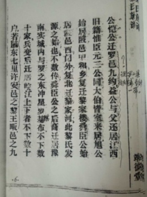
河南罗山县李灿莲是黎姓的亲戚,罗山师范学堂的毕业生。他的《原叙》如下:





《原叙》写道:“就近洪武时有旦公、旭公为昆季,由江右来楚……(舜)臣(舜)元二公同大伯皆(偕)室来居(旦公、舜臣、舜元三人应生于元朝时,因洪武来居时均带有妻室)。旭公始居(黄)陂邑中和乡,复迁黎家楼。(旦公长子)舜臣公始居陂邑西门外,复北迁黎家河,此黎氏发源之始也”。
黎元洪是舜臣12代孙,舜臣洪武时偕室来居,就算舜臣洪武元(1368)年出生,到黎元洪同治三年(1864年)出生,时间相距496年。我们将496除以12约等于42,也就是说黎元洪一门平均要42年才能传一代。古人40岁已垂垂老矣,哪里还有什么生育能力。如果是某一两代的个例是有可能的,代代如此,岂能使人信服!
李灿莲《原叙》在记叙到舜臣一门迁徙时接着说,“兵变(应指太平天国起义、辛亥革命武昌起义)之后迁居皖江上下者不下数十户”。这里所说的“皖江”肯定指我们安庆地区。宿松是800里皖江首邑,与江西九江隔江相望,与湖北黄梅比肩而居。我们这里的贵四祖黎氏,人口两万有余,横跨皖鄂多县市。皖江以上有黄梅、武穴、蕲春、浠水等。皖江以下有宿松、太湖、潜山、望江。我们这里在清朝前期是人口输出的地方。近期,太平天国、辛亥革命之后,不会有“不下数十户”黎氏聚众迁入。就一直往皖江之尾的芜湖、马鞍山方向找,也不会有“不下数十户”黎氏聚众迁入。为何出现这种说法呢?
因为次山的胞叔道钧(举人)一生宦游湖北,宰黄陂等8县,曾任过乡试同考官,也曾英法谈判过租界事宜。道钧的子侄、侄孙们一大家跟着他在鄂做官、经商、从军、读书,并在武昌江夏“火药局”附近买了不少地产,盖了不少住宅。道钧这一大家有儿子望山,嗣子朴山,侄子新吾、次山,侄孙宗斡、宗幹、宗鶾、宗朝等。同治元年26岁的次山充湖北督标精锐左营官时与陈氏结识,生下黎元洪。不久调直隶山西任游击,续因病告归,卜居武昌城内,(同治)六年冬火药局失慎,寓庐倾毁,乃携一大家子归里。并将自己的小照交陈氏留小元洪,小照背面写有“此乃汝之生父”。陈氏看见黎次山走后,从而哄骗小元洪说,“迁居皖江上下者不下数十户”,民国三年修谱时黎元洪又“子为父(母)隐”而向黎德芬、李灿莲述说的。这就是李灿莲《原叙》中所说的“兵变之后迁居皖江上下者不下数十户”说法的原始出处。
刘振岚、张树勇《傀儡总统黎元洪》一书P2下的注释⑦:“黎‘系湖北汉阳府黄陂县寄籍江夏人’。黎家何以寄籍江夏(今武昌),无从得知”。

有研究者认为,这种现象或可与“皖籍说”相互参看。归宗皖宿或许是黎元洪的夙愿。
河南罗山海清河晏先生美篇“清.河道总督黎世序与民国总统黎元洪世族族谱探读(鄂北豫南黎氏源流探材料之七)”“民国总统黎元洪家谱始祖之误”绘制了“(大悟谱)旦公世系示意图”,如下:

如果将《旦公谱世系示意图》分成1/2/3/4块的话,只有第2块(天朗公世系)基本可信,可能是真的。第3块(天清公世系)则是嫁接到或挂靠到第2块(天朗公世系)上去的。而且黎德芬还主动让出宗子的位置给天清公,天朗公居支子的位置(长房称宗子,其余称支子),因为黎元洪是副总统(天者,清、朗也),让出宗子之位是情理中事。再在天清、天朗、天民三公的头上加上始祖旦公、旭公及以下三世,第1块(旦公及以下三世系)根本是假造的。第4块(天民公支系)更是“挂靠”的。
我们再看看黎德芬《黎氏族谱》上所载“新订派字十四世起”之派字:

从十四世起为;德、成、福、长。天朗公一门遵循了这命名的规则,天清公一门从14世一直到17世都没有遵循这命名的规则,大悟谱命名的规定还有什么公信力!这也可佐证:黎德芬所修之谱实际上是“天朗公谱”,天清、天民二支都是“靠支”。
不管“靠支”不“靠支”,总算有了个“户口本”,黎元洪就再不说“寄籍江夏”,而自称“黎黄陂”了。一些鄂籍政治、经济、文艺界专家学者也跟着说黎元洪祖籍江西,甚至黎德芬民国三年(1914年)所修的《黎氏族谱》也成了1934年江西人黎德芬所修的族谱。
有了这“户口本”,黎元洪的嫡孙们就可以乱贴标签,明明是2009年三修的族谱的背脊面上还贴上了“民国三年岁在甲寅季秋吉立”的标签,还在封面上明明白白地注明“旦公第十六孙、(封面上的这顿号十分碍眼)元洪公嫡孙昌晋题字”:

但是,直到1934年11月17日《四川晨报》第8版仍对黎黄陂籍贯提出质疑:

四.建国之初误猜洪氏,与洪秀全同族
中华人民共和国成立之初,上海文史馆馆员薛民见先生《黎元洪姓氏之谜》一文写道:先君端性公,字华阁……写有《华阁随录》。笔者随侍左右,每喜览读,犹记其中记有元洪祖父国尧实洪姓,原与洪秀全同族……一九五七年得上海文史馆副馆长青崖之助。赴黄陂及武汉京津,晤黎族长老与元洪有关人士,就元洪姓氏问题,根据材料作下列研究(原文附后):
研究资料之一,查太平天国后期战略,全部采用运动战术,不若前期之据守一地,携带临产妇女,事实已不可能,此或必须留在黄陂待产者之主因……此时从军及流亡在外者,安敢不改名换姓,以避清廷耳目。
研究资料之二,历代祖先神主(牌位)新旧、大小、木质、式样,均不一律,......斯在立位时必有其难言之隐可知矣。
研完资料之三,黄陂黎氏宗谱修于太平天国起义前五十年,现存无多……经查明,此谱不仅未有元洪记载,即其祖父及近支嫡系,均无踪迹可寻。旧社会对宗谱颇重视,断无元洪祖先不载入谱之理。
研究资料之四,黎大钧原籍确居黄陂,任清庭度支部主亊三十年,山东兵部道一年,大清银行副监督三年。在北京及北塘时,与元洪从未谋面。迨一九O九年家住武昌千家街,才有余房租元洪……(大钧与元洪应以叔侄相称)。
研究资料之五,素住木兰乡东厂畈的雷春明云:元洪实非本地人,素在洪杨末年避乱流浪抵此者……主任医师柳振轩云:元洪母亲确系流浪至此待产者,当然并无房屋,随寓而安。
研宛资料之六,元洪旧部团长兼守备司令许兆龙云:民国二年某日,元洪与侧室黎本危口角,黎本危顶嘴:尔不许我姓黎,我仍姓危可矣,但是尔能姓黎吗?亦应复尔姓。
研完资料之七、之八,元洪家族取名,令人生疑,取名文雅,似属读书旧家。
研究资料之九,府院秘书长及私人秘书长每周四共餐时,无所不谈,惟不言宗族之亊。又告:某曰傍晚,见元洪设洪国游灵位,纱袍黑褂致祭于堂,杨秘书长愰有所悟。幕僚夏寿康遗稿载:一九一三年正月三十日祭祖祭父之祭文中言及国恨家仇之事。
研究资料之十,一九五八年九月十七日访于北京,元洪旧部李根源云:尝察黎澍平间一切行动语言,均不象黎元洪之近房。
阅读薛民见先生所提供的十个研究资料之三丶之四、之十完全可以得出“黎黄陂不是黄陂黎”的结论,即辛亥年间报刊上“黎黄陂不是黄陂黎”之通栏标题,古之人不余欺也!
研究资料之一(陈氏)待产而留黄陂僻乡,研究资料之五元洪母亲确系流浪待产者,这“流浪待产”的生父是黎次山呢?还是洪朝相呢?如果在大清朝时,洪朝相不敢承认姓洪,怕杀头之罪,这可以理解。但到了民国三年,封建帝制已被推翻。黎元洪昂首挺胸地承认自已姓洪,归宗洪氏,连祖上都是反清复明的英雄,自已还真是“民国第一伟人”了。大没有必要孤家寡人被挂靠在黎德芬所“创”修的那8小册《黎氏族谱》上!想归宗黎大钧的黄陂黎氏,黎大钧的家人根本就不认可。连黎元洪的长子黎绍基都得称黎大钧子媳张仲英为二婶。由此可见,黎元洪既非黄陂黎氏,“洪姓”之说也是托辞,是“子为父(母)隐”,臣为君隐,下级为上司隐之产物。
研完资料之七、之八,元洪家族取名文雅,似属读书旧家。各位须知:黎德芬创修的族谱中,像什么旦公、旭公、舜臣、舜元、天清、天朗、思孔、思孟、继周、清周、国彦丶国尧等等等等,不都是黎德芬及谱匠们临修谱时赐的名字吗!倒只有元洪字宋卿,这“送卿”一名,真有点深意。尽管黎次山是个行武出身,他的家族可是个诗书旧家啊!其胞叔道钧是举人,宰黄陂等八县,任乡试同考官。其亲侄宗干是光绪15年进士,他的原配夫人汪氏,殁于同治六年十月二十五日。那一天,正是“江夏火药局失慎,寓庐倾毁”的日子,所以今人猜测其原配夫人殁于这场大火灾。其续配夫人石氏,就是为他作传的翰林院检讨江西道监察御史石长信的胞姐。在这样的家庭背影下,黎次山携眷归里,隐居故土。离别情人时,送上自己的小照,留言记亊,并为元洪取一“送卿”之名,让他暂时“寄籍江夏”,不也很合乎情理吗!
研究资料之六,黎元洪旧部团长兼守备司令许兆龙回忆称,其亲闻黎元洪与侧室黎本危口角一事,黎元洪不准黎本危再姓黎。危亦答:“尔不许我姓黎,我仍姓危可矣,但是尔能姓黎吗?亦应复尔姓。”黎危二人口角时,清帝已逊位,黎元洪如果真姓“洪”,他完全可以也完全应该堂堂正正地归宗姓“洪”。作为小妾在大丈夫面前顶嘴:我可以姓危,你却不敢姓洪。这不分明找死吗?黎危二人口角,黎元洪吞声忍气,肯定有他的难言之隐,“隐”什么呢?黎本危作为黎元洪的侧室,对丈夫黎元洪的身世肯定有所耳闻,对于自己婆母的身世也肯定有所耳闻,口角时黎本危回答黎元洪的话,难道我们不可以读出一点新意吗?人家报刊上不是明明白白地写着:“黎黄陂不是黄陂黎!我还长了一双耳朵,我还认得几个字呢!”
研究资料之九,黎元洪下属幕僚谈每周四共餐,无所不谈,惟不言宗族之亊。又见黎元洪设洪国游灵位祭祖,说国仇家恨之事。言之凿凿,实难信也。如果黎元洪既认洪秀全之祖为祖,又认黎国尧为祖,那还算炎黄子孙吗?那些下属幕僚真是帮上司说胡话!黎元洪祭奠的应该是辛亥革命时捐资20万大洋,“为国宣劳”的黎宗岳这样的同志加兄弟,祭奠的应该是给他留下小照,为他取名的生父黎次山。
1958年我在县城东郊五里乡牌楼小学读四年级的时候,学校升格为“宿松县实验小学”,孟晋调任新实小校长。我清楚地记得孟校长要我们带路去松塘庄走访黎次山后裔,了解黎元洪的身世。此后不久,实验小学迁回县城,孟校长也回了县城。再后,孟校长升任县图书馆馆长、县文化局局长,他一直关注宿松历史名人资料的搜集。1985年3月孟晋先生撰写的《宿松名胜》一书发行,其中就有“黎元洪,宿松县松塘庄人”的记载。可惜的是上世纪五六十年代上海文史馆馆员薛民见先生亲赴黄陂及武汉京津,晤黎族长老与元洪有关人士,唯独遗漏了黎元洪原籍皖宿的松塘庄,遗漏了黎次山的后裔及孟晋先生这样的人士,实为憾事!
薛民见先生在撰写《黎元洪姓氏之谜》一文前,1961年也还编写了《黎元洪年谱》,据说“本资料(年谱)备向黎宋卿先生生前友好至戚及有关人士继续征求年谱资料而作。全为抛砖引玉之用,并非正式年谱”。薛先生还特别强调:“作者编写此谱时,曾两访黄陂黎氏族人,咸谓元洪父母(均)系洪杨执政末年由外地迁居黄陂。检查黎氏宗谱,亦无其祖支系,可以证明。又至天津检阅谱主家祠中所供神主,亦多可疑,故编者另写元洪姓氏之谜一文附后,以备历史辩证之参考”。可惜,薛民见先生还未修订,即已去世。可悲的是湖北省政协供稿,鲁永成主编《民国大总统黎元洪》一书时,将《黎元洪年谱》“有所删节”地附录于《民国大总统黎元洪》一书之后,作为黎元洪黄陂籍的依据。这《黎元洪年谱》一书不见《黎元洪姓氏之谜》一文内容的影子,是否被“有所删节”了?我只知道:同一作者,同一时段,“年谱”一书与“姓氏之谜”一文,观点截然不同。

五.辛亥百周年纪念后“黎大悟”的说法开始萌生
改革开放以后,先是湖北黄陂的一些有识之士发现名人效应能够提升省市县的政治、经济、文化品位,湖北黄陂大悟都在舆论宣传、经济投入方面十分出力:举办大型座谈会,成立黎黄陂研讨会,为黎元洪修陵园,修祖坟,造黎元洪纪念馆。
在民国三年黎德芬创修《黎氏族谱》的基础上,时隔73年的1987年黎福阶又续修了一次《黎氏族谱》,这一次续修,黎元洪子孙可能未过问。组织者也仅局限于创修族谱的范围(天清、天朗、天民三公支下),由于经济条件、组织者能力和文化水平等方面的限制,续修谱实在不足称道,只要看看此次的谱序和黎元洪一支的世系行传就可见一斑:


再时隔22年的2009年,借着辛亥百周年祭的东风,湖北大悟也不甘寂寞,修起了黎元洪故居纪念馆,重光了黎元洪的所谓祖坟,并且三修了《黎氏族谱》:

《黎氏族谱》1914年创修距始祖旦公生活的年代550多年,续修距创修又相隔73年,三修称为合修,距续修仅相隔22年。创修只有天清、天朗、天民3支。续修黎福阶碍于经济、人力等原因,只能紧步黎德芬的后尘。2009年的主编是黎学俊,采用联修的方式,由过去的3支扩大为8支,并确定旦公支下为卷一,旭公支下为卷二,昭公支下为卷三,易公支下为卷四,琮公支下为卷五,增化公支下为卷六,杞公支下卷七,明义公支下卷八。很明显,这次合修,卷一中的旦公后裔是主角,有大总统黎元洪在;卷二中的旭公后裔是配角,有清.河道总督、太子太保黎世序(实为河南罗山人)在。其余六卷的六支都是用归宗联谱的手段,挂靠上去的,修谱时的术语叫“靠支”。很遗憾的是:红安(县)黎王畈各支未来挂靠,实际还有上文中我提到的河南罗山县那支也未来挂靠,更有甚者光绪9年进士黎大钧那支更未来挂靠。
我们将1914年黎德芬创修、2009年黎学俊合修的《黎氏族谱》两谱对照一下,黎元洪一门的1——10世世系行传保持原样,照抄了老谱。这老谱记载过于简单,仅有公妣名氏:
第1世旦公生五子:舜臣、舜民、舜元、舜恺、舜益
第2世舜臣生二子:有兴、有德
第3世有兴生一子:永谟,(有德失考)
第4世永谟生二子:天清、天朗
第5世天清生二子:思孔、思孟
第6世思孔(生四子文明、德明、克明、扬明)
第7世文明
第8世国祥
第9世继周
第10世尚恒

2009年黎学俊主持合修的《黎氏族谱》中的11——15世世系行传对黎德芬创修行传作了大幅度的增加,请对比下图:


黎德芬创修族谱是1914年,黎学俊主持合修族谱是2009年,印刷成书是2012年,创修合修相距时间近百年。创修时的当事人合修时均已作古,对当事人世系行传作大幅度的更改、增添的依据是什么呢?先对国荣、朝相两行传提出质疑:
1.第12世“国荣,字国尧,生于1884年,卒于1868年,葬黎家河面前山(现黎元洪故居纪念馆院内),民国24年12月吉日绍基绍业立碑”。
合修谱在百年后给国荣加了生庚、葬所、字号,这些资料来自何处?萧致治在《清朝时期的黎元洪》一文中说过,“(姑父)田秀庭拿他(元洪)没办法,年终只得把他送回汉阳。这是黎元洪一生中,在黄陂老家度过的唯一的一年”。你说黎元洪哪里知道他的曾祖父母、祖父母叫什么,生殁年庚,坟在何处!
到了民国24年,国民政府为黎元洪举行了隆重的国葬仪式,迎启黎元洪夫妇的灵柩于卓刀泉安葬,他享受了国家元首礼遇。此时黎元洪的两个儿子才想起了为自己父亲的祖父母、曾祖父母修墓立碑的事。葬礼结束后,元洪的家属委托代表带回现洋200元,100元用作孝义小学堂黎姓学生的学费,另100元由族人黎复铎经手修了两座坟,……黎元洪家属出资修的两座祖坟,位于黎家河东边一公里处的祖坟山——田家河,茔台用条石彻成,并立有块长71公分,宽45.5公分的大理石墓碑,一为曾祖考世义、曾祖妣郑氏的;另一为祖父国尧与祖母肖氏的,皆为壬山丙向,时间都是中华民国24年十二月吉日;下款署:绍基,绍业敬立。二碑至今保存完好,字迹清晰可见。
至于所谓黎元洪父母的坟墓,黎元洪生前据说是治修过的,立在天津北塘滨海新区(也说在上海),天津人称“白坟”,但从滨海人家的500329www的博客也可看出。黎元洪为自己父母修的坟墓是个“空坟”,里面什么东西也没有,甚至连衣冠都没有,也只不过是个“虚设的象征”。
2.第13世朝相清军游击,生于一八三五年,卒于一八八四年正月三十丑时,葬天津北塘。妣陈氏生于一八四一年,卒于一八七八年十一月初十子时,子三长元圣次元洪三元泽,长子元圣过继万山为嗣。继崔氏籍天津北塘,生于一八四四年,卒于一九O一年七月二十已时
合修谱给朝相添加了官职、生年、卒时、葬所、续配,也还给陈氏加了生年、卒时、生三子,这些资料来自何处?
关于朝相葬所,有说葬上海,有说夫妻合葬于北塘,天津人称为“白坟”。合修谱对陈氏葬所未作添加。近期抖音上有陈氏葬大悟县东新乡邱寨村的定位,如果属实,天津人称的“白坟”就是假的,或者说是朝相与续配崔氏的象征意义的合墓。抖音上陈氏坟所葬位置不在现今黎元洪故居纪念馆院内,也不在大悟县政府网站上所说的“黎家河东边一公里处的祖坟山——田家河”上,却孤独一人葬在大悟县东新乡邱寨村,还说那里是块“风水宝地”。这就怪了,是陈氏在28岁或38岁时去世后,专程从天津北塘运回老家安葬的呢,还是陈氏根本就没有跟随黎元洪及童养媳吴氏一起去天津,只是孤单一人在黄陂娘家居住到生命的终结(所有信息都没有陈氏去北塘的记载,包括黎绍基,黎绍芬的回忆文章,只见14岁的黎元洪和8岁童养媳吴氏艰辛跋涉40多天去北塘的回忆)。很可能黎朝相只是资助黎元洪去天津北塘读水师学堂,至多只算黎元洪的“养父”。
至于元平女,合修谱未作添加。就是一般百姓家修谱也应载明:“生三子一女,女元平适苏元泰”。合修谱还给朝相添加了“继崔氏”,并注明天津北塘人。续崔氏时,崔氏37岁,还应在生育年龄,但未见其生育。陈氏28岁或38岁生元泽后不久去世,续崔氏前后都应有生育。
因疑:崔氏为原配,生元平、元圣,元圣夭折,再续带元洪的偏室陈氏。故元平、元洪两姐弟不同父不同母。幼时同患难,发达后不一定共欢乐,亲情一般啊!
14世黎元洪行传对如夫人黎危本不作添加,而13世朝相行传却添加“继崔氏”,其中定有蹊跷!

再梳理一下族谱中黎元洪家族的世系:
10世尚恒妣氏生四子长世凤次世贵三世耀四世义
11世世义生二子,长国荣次国彦
12世国荣妣萧氏子二长朝相次朝有
12世国彦自身无传立胞兄次子朝有为嗣
13世朝相妣陈氏子三长元圣次元洪三元泽元圣过继万山为嗣
13世朝有妣章氏生子元涛
13世万山妣段氏立朝相长子元圣为嗣
14世元圣立元寿次子有清为嗣
14世元洪妣陈氏生二子长绍基次绍业绍基过继胞弟元泽为嗣
14世元泽自身无传
14世元涛妣李氏无传
15世有清元圣嗣子
15世绍基娶唐闳律生三子长昌复次昌胤三昌礽昌复过继胞弟元泽为嗣
15世绍业娶刘孝琮生二子长昌骏次昌晋
16世昌复、昌胤、昌礽(生育不明)
16世昌骏(无传)
16世昌晋娶于丽娜生一子茂明
17世茂明(余者不详)

以上信息都显示,1914年黎德芬创修族谱时,元圣、元泽、元涛均不在世。红丁,只有黎元洪父子三人,创修谱中,绍业的名字都只印了一“绍”字。连远房倒过继给元圣的15世有清也于民国2年离世。就是第11世中的世贵、世耀,民国三年都不见红丁。尚恒长子世凤房中民国三年修谱时也没有红丁,因为倒过继给元圣为嗣的都不是尚恒的后裔。也就是说,创修族谱时,黎元洪没有五服以内的血亲,孤家寡人在北京被挂靠在10世尚恒四子世义的名下,成为“靠丁”。这谱,还在北京以“靖德堂”的堂号刊印成册。
前些日子,一位南昌的黎氏宗亲去大悟“黎元洪故居纪念馆”参观旅游,接待他的是一位自称万山公支下有清房倒过继给元圣为嗣的务工人士。南昌黎先生问起在大悟有没有黎元洪五服之内的血亲时,大悟务工的黎先生肯定地回答说:在大悟,总统五服以内的血亲是没有的,只有我家是倒过继给元圣公的,算与大总统亲近一些。这话,也可作为以上论点的佐证。南昌的黎先生还告诉我,他在大悟黎元洪故居纪念馆里看到的祖墓的墓碑与早年在网站上看到的墓碑有些不同。
综上所述,黎元洪的身世与籍贯问题,因史料记载不一而仍存争议,其中“皖宿说”亦为值得关注的一说。
责任编辑:姚翠兰


您的位置:






